近日,国务院学位委员会下发《关于下达2020年审核增列的博士、硕士学位授权点名单的通知》(学位〔2021〕14号),经国务院学位委员会审议通过,我校新增艺术(音乐方向)专业学位硕士点。

艺术(音乐方向)专业学位硕士点是15vip太阳集团首个硕士学位授权点,该学位点的获批,实现了我院办学发展历史性的突破,是我院办学实力、办学水平、办学特色的集中体现,更是我院办学发展的重要里程碑。
扬帆起航,劈波斩浪。学院将以此次获批专业硕士学位点为新的起点,坚持以习近平新时代中国特色社会主义思想为指导,以推动学院高质量发展为主题,以改革创新为根本动力,以“新闽师”建设为主线,践行“以美育人、艺心向党”的育人模式,落实立德树人根本任务,推动学院在学科建设、人才培养、教学科研、社会服务、文化传承等方面取得新进展。
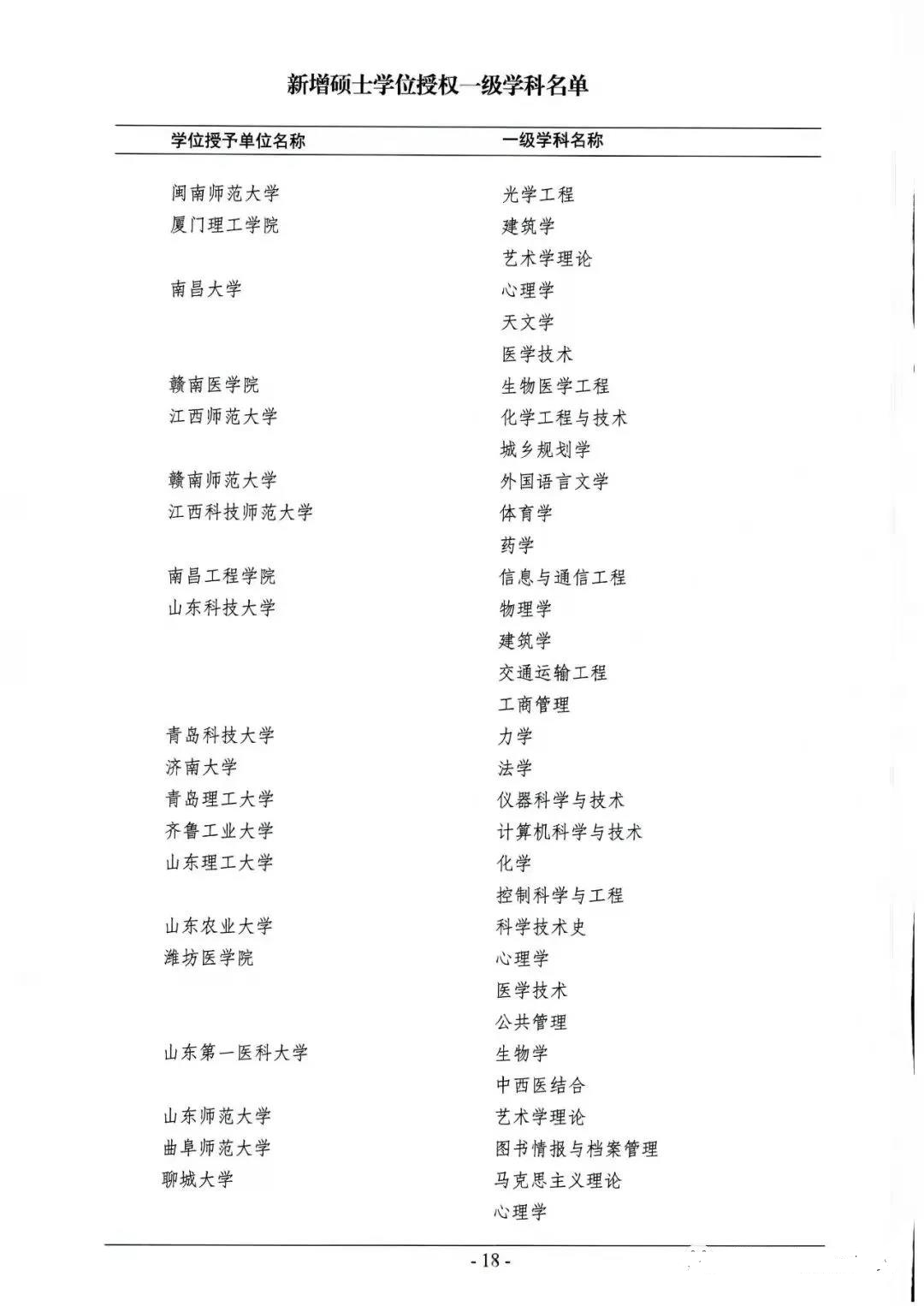
据悉,国务院学位委员会下发的《通知》中,我校获批博士学位授予单位,中国语言文学获批为一级学科博士学位授权点,新增马克思主义理论、教育学、光学工程3个一级学科硕士点和翻译、资源与环境、汉语国际教育、风景园林、旅游管理、艺术6个专业学位硕士点。




(文:陈木坤)